收藏本站
我的资料
   
查看手机网站
 

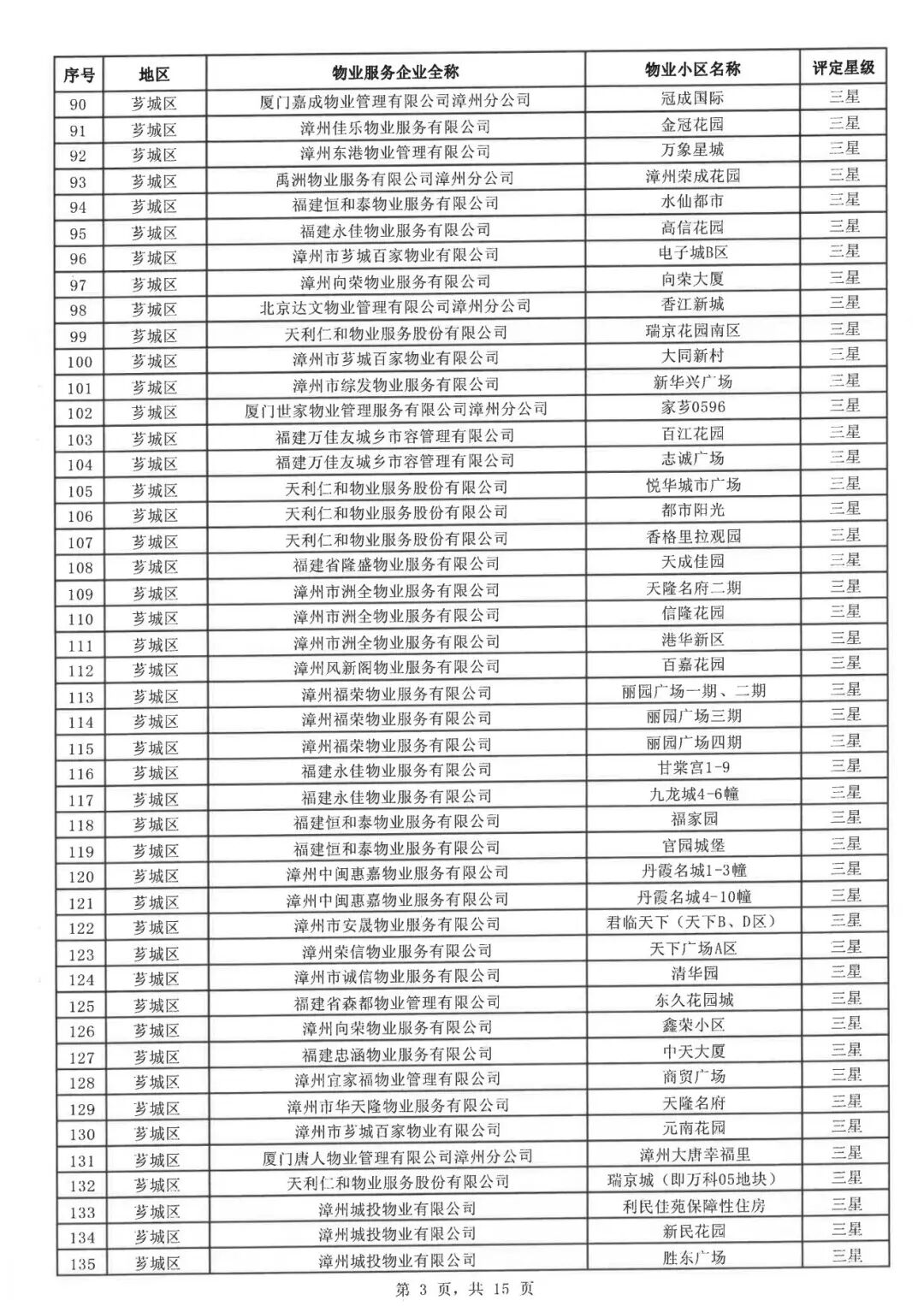
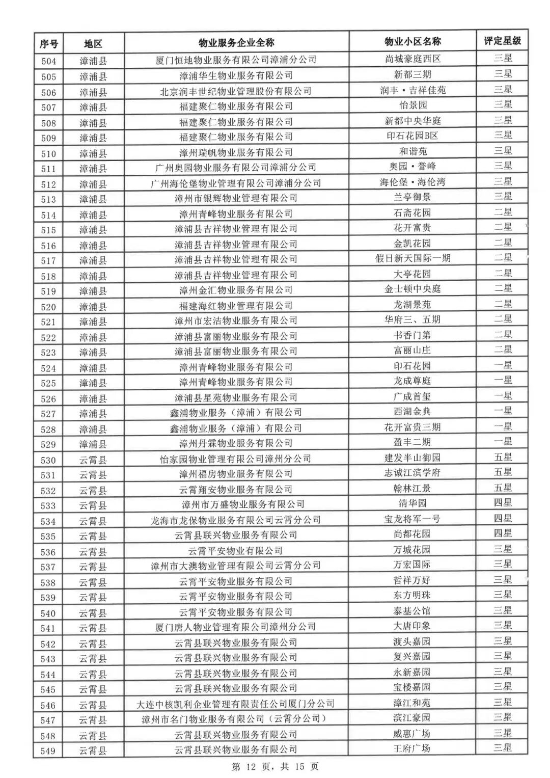
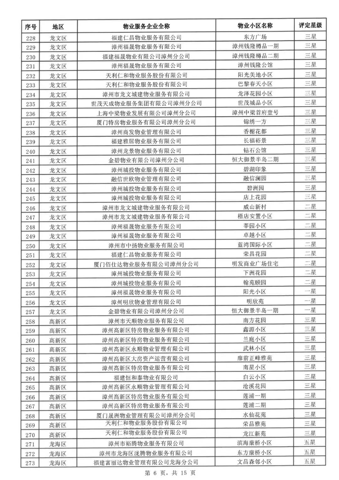
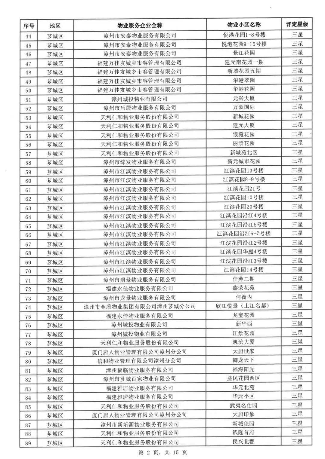
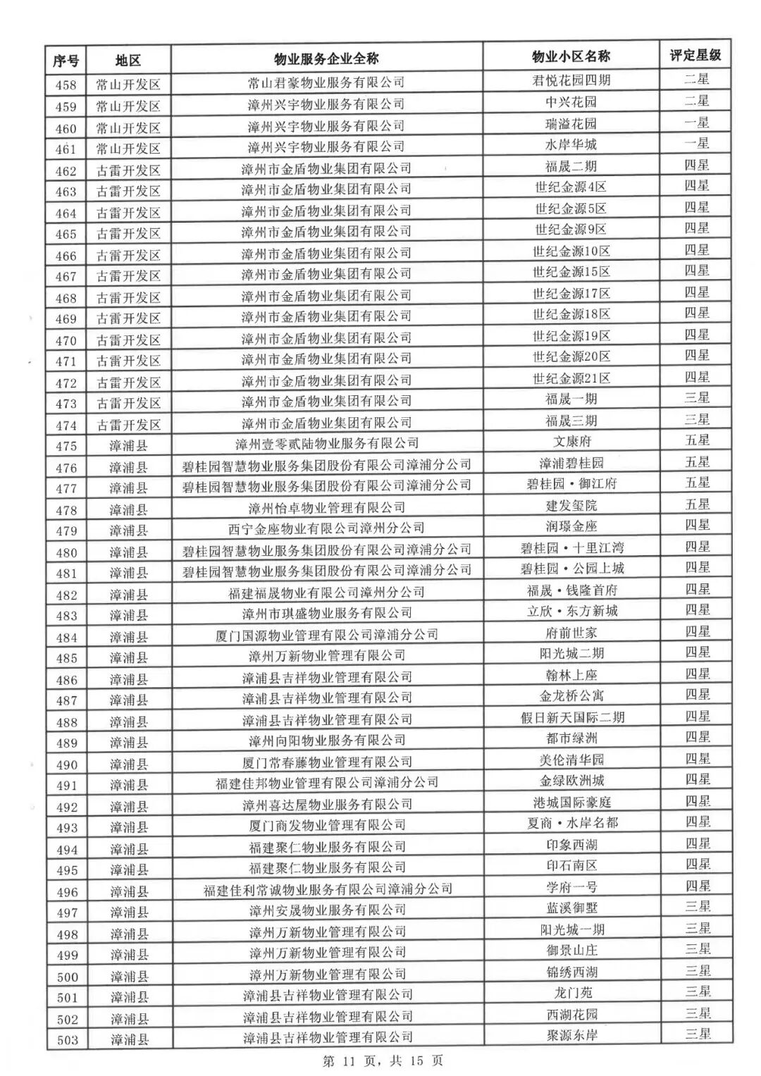
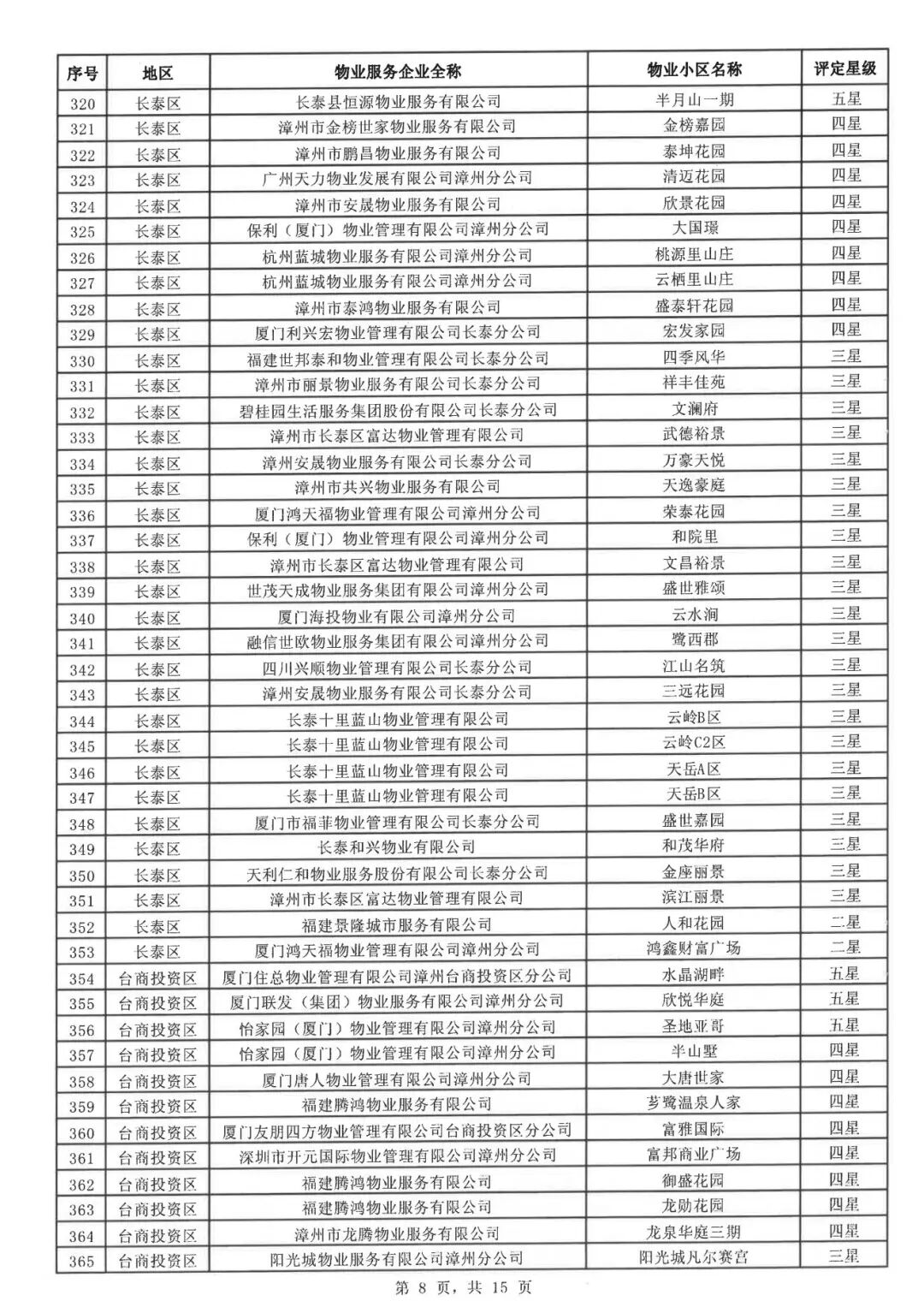
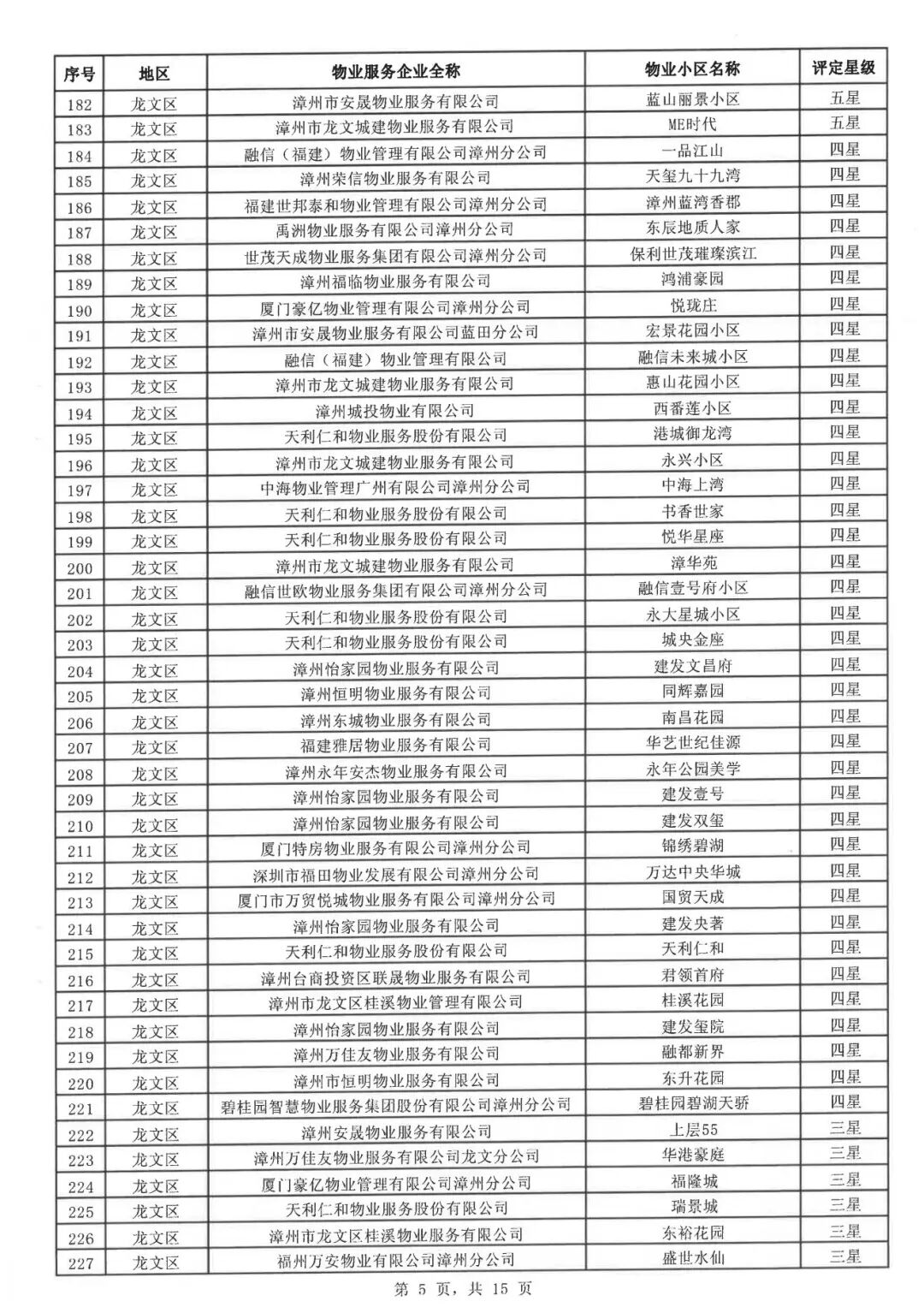
漳州672个物业小区首次评星结果出炉!快来看你家物业几颗星?

 二维码
发表时间:2023-03-22 10:23网址:https://www.0596loushi.com/

漳州楼市近期头条

头条1漳州市民广场及商业商务中心11月将开工

头条2337亩!漳州市区景山公园控规重磅公告

头条310月第3周漳州住宅成交丹霞云邸居榜首


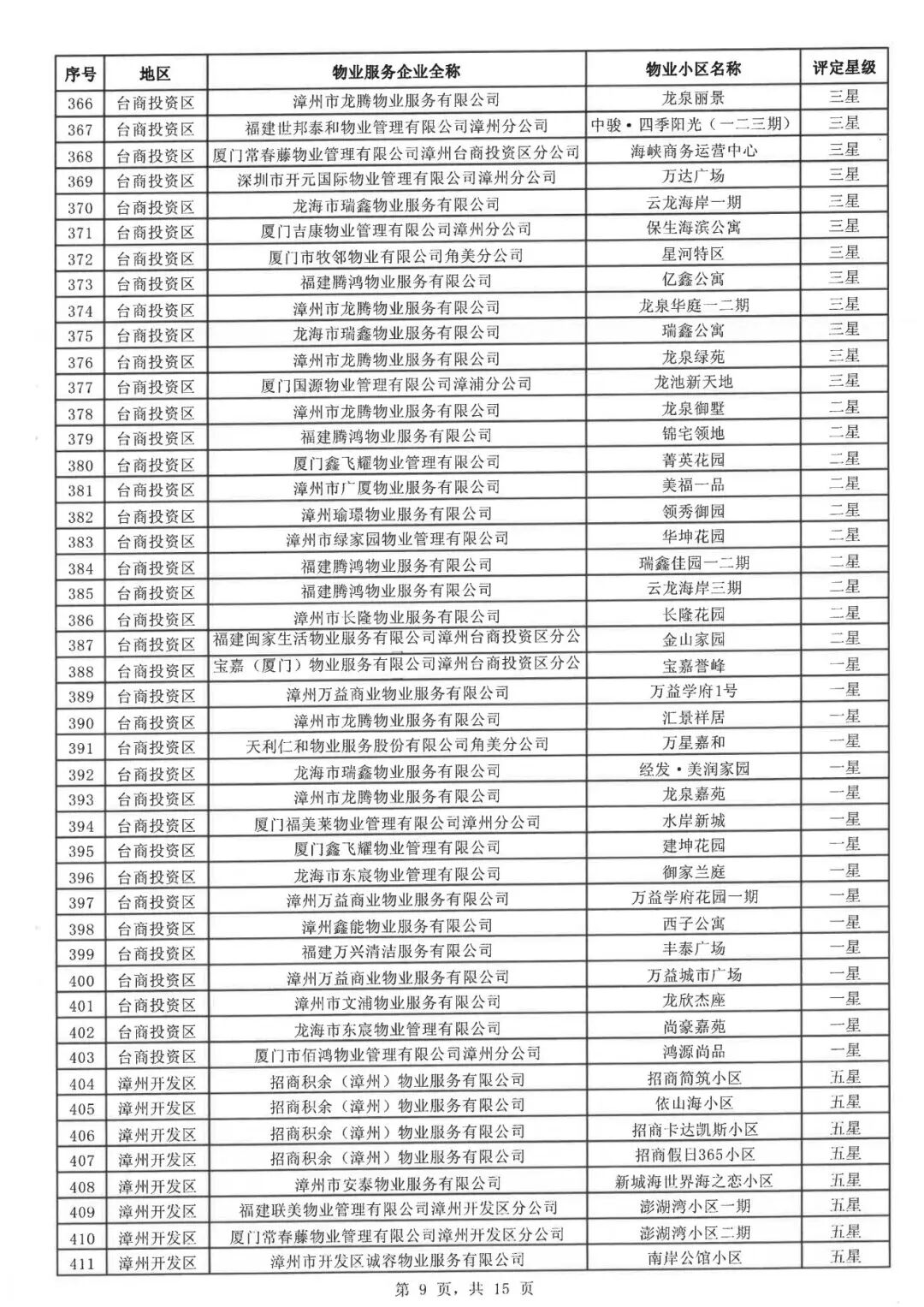
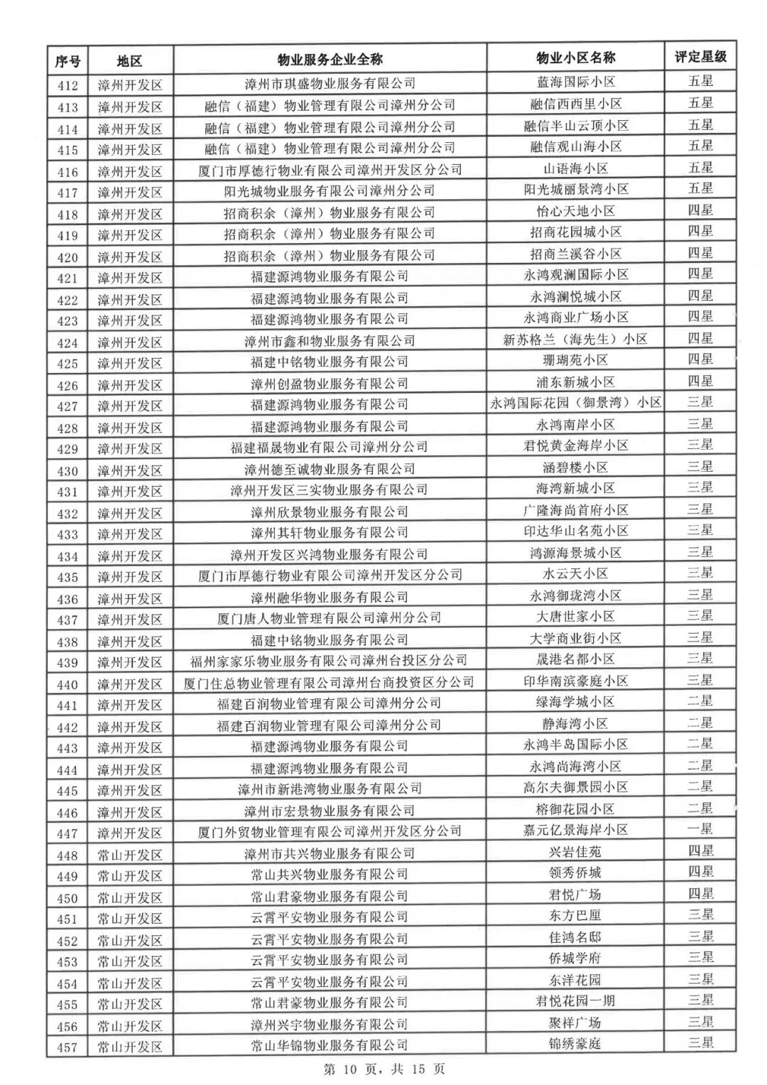
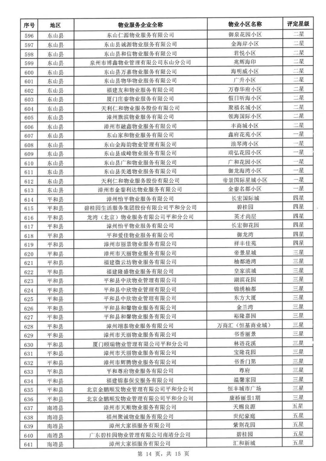
物业服务的好坏直接关系着群众的获得感、幸福感和安全感。为进一步规范物业企业服务行为、提升物业服务质量,维护业主的合法权益,今年漳州市创新出台《漳州市住宅小区物业服务质量星级评定实施办法(试行)》(以下简称《实施办法》),由各县区城管部门每三个月开展不少于1次辖区住宅小区物业服务质量星级评定。近日,2022年第三季度全市物业小区星级评定结果出炉,这也是漳州市首次对住宅小区物业服务质量开展星级评定。


那么,快来看看你家小区物业服务质量几星级!


(个别小区属于社区居委会引进代管,尚未到属地城管部门备案,没有参与此次评定。)


来源:漳州城市管理


推荐阅读

漳州市民广场及商业商务中心11月将开工
337亩!漳州市区景山公园控规重磅公告
10月第3周漳州市区住宅成交丹霞云邸居榜首
9月漳州住宅成交量价大涨!近13个月房价曝光
聚焦漳州保交楼、购房补贴、公积金、公租房…
6021万!漳州市区碧湖公园西湖湖区将改造
重磅!漳州房屋租赁合同网签可在网上备案
重磅!漳州市二手房买卖进入“带押过户”时代
里程碑!漳州市实验小学松柏分校重磅揭牌
漳州首套公积金贷款利率下调!最低2.6%
2022年10月第2周漳州市区住宅连续断供3周
- End -

公众号推送规则改变,不愿意错过精彩内容,三步走设为“星标”!点击上方蓝字『漳州楼市情报』-点击右上角『...』-点选『设为星标』。还可点『在看』或者『点赞』互动。点击文末“阅读原文”,进入“漳州楼市网www.0596loushi.com、m.0596loushi.com”可阅读更多内容。



责编:漳州楼市情报/漳州楼市网www.0596loushi.com整合编辑

免责声明:图文版权归属原作者,文章内容及图片如涉及作品内容、版权和其它问题,请在30日内与本公众号联系,我们将在第一时间删除内容。文章只提供参考并不构成任何投资及应用建议。

楼盘宣传信息有效期:截止发布之日起7天内(面积为建筑面积)

猛戳,提醒更多人“在看

免责声明:凡注明“来源:漳州楼市网”或“漳州楼市情报”的所有文字图片视频等资料,版权均归漳州楼市网/漳州楼市情报所有,转载请注明出处;文章内容仅供参考,不构成投资建议,也不代表漳州楼市网/漳州楼市情报赞同其观点。文中所涉面积如无特别说明,均为建筑面积。文章如有涉及侵权的内容、图片以及其它问题的,请联系本站删除,联系电话:0596-2182801。

漳州楼市网小程序 漳州楼市情报公众号
微信小程序
微信小程序
百度小程序
百度小程序
公众号
公众号
帮您找房

帮您找房

副标题

意向区域
意向楼盘
意向面积
意向户型
意向价格
具体需求
联系人
*
联系电话
*
提交
楼市问答
最新资讯

最新资讯

副标题

楼市报告

楼市报告

副标题

楼市动态

楼市动态

副标题

楼市政策

楼市政策

副标题

土拍征迁

土拍征迁

副标题

房贷公积金

房贷公积金

副标题

学区教育

学区教育

副标题

居住配套

居住配套

副标题

保障性住房

保障性住房

副标题

地产招聘

地产招聘

副标题

房产百科
买房准备
看房选房
认购合同
贷款办理
收房验房
缴税过户
产权办理
政策法规
买房工具
买房准备-买房知识

买房准备-买房知识

副标题

看房选房-买房知识

看房选房-买房知识

副标题

认购合同-买房知识

认购合同-买房知识

副标题

贷款办理-买房知识

贷款办理-买房知识

副标题

收房验房-买房知识

收房验房-买房知识

副标题

缴税过户-买房知识

缴税过户-买房知识

副标题

产权办理-买房知识

产权办理-买房知识

副标题

政策法规-买房知识

政策法规-买房知识

副标题

   •   买房能力评估

   •   商业贷款计算器

   •   公积金贷款计算器

   •   组合贷款计算器

   •   提前还款计算器

   •   税费计算器

新房楼盘大全

龙湖双珑原著 西湖正荣府 万科城玖龙台 禹洲雍江府 恒大帝景 特房锦绣碧湖 大唐锦绣世家 联发君领壹号 九龙兴城

扫一扫
扫一扫漳州楼市网手机版
扫一扫漳州楼市网手机版
扫一扫漳州楼市网微信小程序
扫一扫漳州楼市网微信小程序
扫一扫漳州楼市网百度小程序
扫一扫漳州楼市网百度小程序
扫扫漳州楼市情报公众号
扫扫漳州楼市情报公众号
登录
获取验证码
登录
登录
我的资料
留言
回到顶部